vol.55:片麻痺患者の上肢および手指運動機能に対する新しい反復促通療法の効果 脳卒中/脳梗塞のリハビリ論文サマリー
脳神経系論文に関する臨床アイデアを定期的に配信中。 Facebookで更新のメールご希望の方はこちらのオフィシャルページに「いいね!」を押してください。」 臨床に即した実技動画も配信中!こちらをClick!!(YouTube)

STROKE LABでは療法士向けの脳科学講座/ハンドリングセミナーを行っています!上記写真をClick!!
PDFでもご覧になれます。→PDF
手のリハビリに役立つ動画
カテゴリー
上肢,脳科学
タイトル
片麻痺患者の上肢および手指運動機能に対する新しい反復促通療法の効果 Effects of intensive repetition of a new facilitation technique on motor functional recovery of the hemiplegic upper limb and hand?PubMedへ Kazumi Kawahira et al.:Brain Inj. 2010 Sep; 24(10): 1202–1213
内 容
概 要
●多くの理学療法士が,脳卒中後の機能回復のための神経筋促通技術を開発してきた
●例えば,ブルンストローム法/ボバース法/電気刺激療法/CI療法/機械トレーニング/早期反復感覚運動刺激/磁気刺激療法などがあるが,片麻痺者の四肢を効果的に機能回復させる方法は確認されていない
●それは母数が少なく,統計的に適切に証明できるデザインが確立されていないという点と,これらの方法は従来筋緊張の正常化と姿勢の非対称性を修正することを目的としている点,また,手指や上肢などのわずかな機能回復を定量的に評価する指標がない点などから確認が難しい現状があった
●上肢および手指に対するRepetitive facilitation exercise(以下:RFEs)は,伸張反射や皮膚筋反射などを患者が麻痺側を随意的に動かそうとする直前もしくは同時に与えるなどして,随意運動に重要な刺激を与え,それらを集中的に反復していることから効果を得られると考えられている
●既存の反復療法は,例えば100回程度の反復には不向きであり,本研究ではRFEsが脳卒中患者の上肢の随意運動を機能的に回復させ,物品操作などの課題が改善するかどうか調べることを目的とする 
Fig.1:反復促通療法のメカニズム(Kazumi Kawahira et al.:2010)?原著PDFへ
目 的
● 脳卒中片麻痺患者に対して多感覚の統合刺激を通して,上肢および手指の随意運動を促通するための新たな技術の効果を調べること
方 法
対 象
●23名の脳卒中患者(平均年齢54.7±13.1歳,発症後5-71週)
●除外基準は,上肢・手指のBrs.Ⅱ以下の重度麻痺者および重度感覚障害や骨折の既往,激しい疼痛,重度失調など医学的にRFEsが実施できない場合とした(TableⅠ)

Table.1:片麻痺被験者の特徴(Kazumi Kawahira et al.:2010)?原著PDFへ
研究デザイン
●クロスオーバー比較デザインを用いて,A-B-A-B群(RFEs group 1)とB-A-B-A群(RFEs group 2)を設定
●AはRFEsを2週間実施,BはConventional Rehabilitation(以下;CR)を2週間実施する
●CRでは関節可動域訓練,ADL練習,ワイピング,ピンチング,サンディングなどの練習を行った
8つの新しい促通手技
①肩関節屈曲:臥位で上腕骨頭の偏位を防ぎながら三角筋をタッピングし,肩を声掛けにより自発的に屈曲させる
②水平外転・内転:臥位で三角筋に急速な伸張と圧擦刺激を与えながら,肩を声掛けにより自発的に水平内転・外転させる
③PNFパターンを応用しながら,肩関節の屈曲・内転・外旋および伸展・外転・内旋を行い,手関節と手指の動きも入れていく.タッピング,圧擦,急速伸張刺激を加えていく
④PNFパターンを応用しながら,肩関節の屈曲・外転・外旋および伸展・内転・内旋を行う.手関節と手指の動きも入れていく.タッピング,圧擦,急速伸張刺激を加えていく
⑤座位で肘関節90°屈曲位にて,前腕の回内外を行う.タッピング,圧擦,急速伸張刺激を加えていく
⑥臥位で手関節の掌背屈を行う.小指外転筋をつかみ,第2指と3指を使って患者の指を把持する.指に牽引刺激を与えながら前腕尺側に刺激を与え,声掛けにより自発的に回外と背屈を行う.その逆のパターンも行う
⑦臥位で声掛けにより自発的に指の屈曲と伸展を行う.各指に対して個別に行われる.タッピング,圧擦,急速伸張刺激を加えていく
⑧座位で手関節の掌背屈を合わせながら手指の屈曲伸展を行う.タッピング,圧擦,急速伸張刺激と指に対するわずかな抵抗を加えていく

Fig.2:促通手技の方法(Kazumi Kawahira et al.:2010)?原著PDFへ
分離運動および物品運搬能力の評価
●2週間毎,RFEsとCRを切り替える際にBrsおよびSTEF上肢検査を行った
●Brsの最高点はⅥ,STEFの最高点は100である
統計解析
●ノンパラメトリック法としてウィルコクソンの符号付順位和検定を用いて,BrsおよびSTEFの値が向上するか検討
●また,年齢及び発症後期間に差がないかt検定を用いて確認
結 果
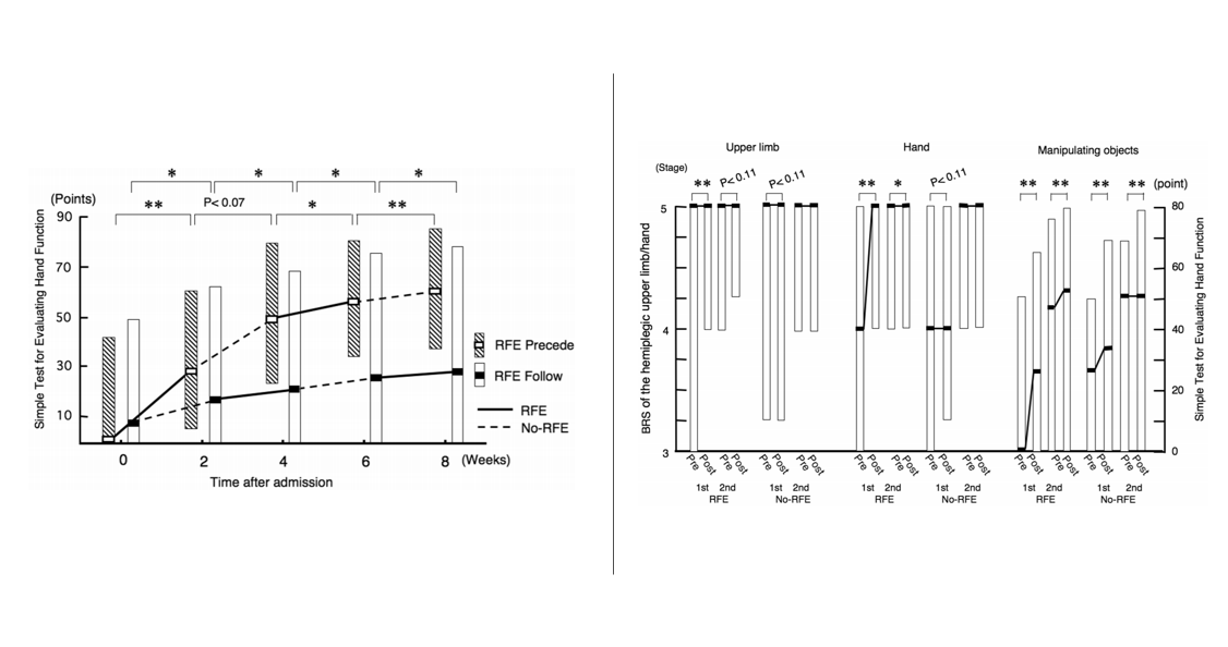
上肢分離運動の改善

Fig.3:上肢分離運動の改善効果(Kazumi Kawahira et al.:2010)?原著PDFへ
●group1では,Brsが実施前5.0(3.3-5.0)からRFEs実施後の2週目5.0(4.0-5.0)に上肢Brsの有意な改善が見られた
●RFEs2回目実施後の6週目およびCR実施後には改善は見られなかった
●group2では,中間地点においてはBrsの有意な改善は見られなかった
●両groupとも,8週目以降は重要な向上は見られなかった(Figure.3)
手指分離運動の改善

Fig.4:手指分離運動の改善効果(Kazumi Kawahira et al.:2010)?原著PDFへ
●group1では,Brsが実施前4.0(3.0-5.0)からRFEs実施後の2週目5.0(4.0-5.0)に上肢Brsの有意な改善が見られた
●しかし,続くCR後では改善は見られなかった
●group2では,最初のCRおよび続くRFEs後でも有意な改善は見られなかった(Figure 4)
物品操作課題の改善

Fig.5:物品操作の改善効果(左)と各Outcomeでの比較(Kazumi Kawahira et al.:2010)?原著PDFへ
●group1では,最初の2週間実施後に有意な改善が見られ,その後のCR実施後もゆるやかに改善する傾向が見られた
●Group2では,最初のCR実施後および続くRFEs実施後において有意なスコアの改善が見られた
●2周期目のセッション後すなわち6周目および8週目の測定において,group1では両方とも有意な改善が見られ,group2では両方ともさらに有意な改善が認められた(Figure5左)
●Figure5右では,group1と2の患者を混ぜて比較している
●Brs上肢は,最初の2週間のRFEs後は有意な改善が見られたが,最初のCR後では見られなかった
●また,2周期目のRFEsは有意でないものの改善傾向は見られたが,CR後では違いが見られなかった
●Brs手指は,1周期目および2周期目のRFEs後はどちらとも有意に改善したが,CR後はどちらの周期後も改善は見られなかった
●STEFは,RFEsおよびCRどちらとも1周期目,2周期目後の測定で有意な改善が見られた
考 察
●Brsの改善はFREs実施後に見られた
●FREsは自発運動に重要な物理刺激である,タッピング,圧擦刺激,急速伸張刺激を組み合わせ,伸張反射,皮膚筋反射,α-γ連関を誘発することを目的としたものであり,その効果が証明された
●8つの手技の中には,PNFパターンを応用したものも含まれるが,PNFとの違いは近位に抵抗を与え自動運動を誘発している点と,滑らかに行うことにより500-800回ほどの反復を可能にしている点である
●8つの手技を100回ずつ繰り返しても,30分程で終了することができる
●これまでの神経生理学的な研究は,共同運動パターンからの逸脱には,分離運動の反復が運動学習には重要であるということと,自発運動の反復的な誘発が分離運動には重要であるということを提唱している
●これらの理論は,RFEsが重きを置いている有効的な反復頻度と自発運動の誘発が有効であることを裏付けている
●RFEsは30分であるが,Constraint induced movement therapy(CIMT)療法はさらなる麻痺肢の高度で集中的な使用を取り入れており,更なる効果が期待できるかもしれない
私見・明日への臨床アイデア

●脳の可塑性を促す場合,有効的な反復と集中的な自発運動の誘発は避けられないポイントであると分かった
●一方,一般的に「反復」「自発運動」どいう概念は労力を要するため運動療法として抵抗されやすい傾向があり,それをセラピストが強いる場合,セラピスト自体に抵抗感を抱かれやすいと考えられる
●患者とのラポールを築きながら,必要な負荷である場合,適切に与えることができるセラピストとなる必要があるのではないだろうか
●自発運動の反復は,一般的にブロードマンエリアの4野を用いた,背外側系経路の強化であると考えられる
●一方実際の動作では姿勢制御を中心とした,腹内側系の作用が陰法師のように存在しているとされている
●またより高次な活動では,高次神経機能の働きを必要とする.それぞれの経路別にアプローチする手技を整理することでどのような手技を学ぶ必要があるか,研修を受講するべきか取捨選択することも今後のセラピストには必要であると感じる
執筆監修|金子 唯史 STROKE LAB代表
・国家資格(作業療法士)取得
・順天堂大学医学部附属順天堂医院10年勤務
・海外で3年に渡り徒手研修修了
・医学書院「脳卒中の動作分析」など多数執筆
脳卒中回復過程についての動画
上肢のリハビリについての動画
脳卒中の動作分析 一覧はこちら
塾講師陣が個別に合わせたリハビリでサポートします

1981 :長崎市生まれ 2003 :国家資格取得後(作業療法士)、高知県の近森リハビリテーション病院 入職 2005 :順天堂大学医学部附属順天堂医院 入職 2015 :約10年間勤務した順天堂医院を退職 2015 :都内文京区に自費リハビリ施設 ニューロリハビリ研究所「STROKE LAB」設立 脳卒中/脳梗塞、パーキンソン病などの神経疾患の方々のリハビリをサポート 2017: YouTube 「STROKE LAB公式チャンネル」「脳リハ.com」開設 2022~:株式会社STROKE LAB代表取締役に就任 【著書,翻訳書】 近代ボバース概念:ガイアブックス (2011) エビデンスに基づく脳卒中後の上肢と手のリハビリテーション:ガイアブックス (2014) エビデンスに基づく高齢者の作業療法:ガイアブックス (2014) 新 近代ボバース概念:ガイアブックス (2017) 脳卒中の動作分析:医学書院 (2018) 脳卒中の機能回復:医学書院 (2023) 脳の機能解剖とリハビリテーション:医学書院 (2024) パーキンソン病の機能促進:医学書院 (2025)

