vol.393:脳卒中患者の転倒リスクに上肢機能は関係するのか? 脳卒中/脳梗塞のリハビリ論文サマリー
脳神経系論文に関する臨床アイデアを定期的に配信中。 Facebookで更新のメールご希望の方はこちらのオフィシャルページに「いいね!」を押してください。」 臨床に即した実技動画も配信中!こちらをClick!!(YouTube)
STROKE LABでは療法士向けの脳科学講座/ハンドリングセミナーを行っています!上記写真をClick!! PDFでもご覧になれます。→PDF
カテゴリー
タイトル
地域で暮らす脳卒中患者の転倒:転倒の状況と特徴 Fall events among people with stroke living in the community: circumstances of falls and characteristics of fallers. Dorit Hyndman, Ann Ashburn, MPhil, Emma Stack(2002)
なぜこの論文を読もうと思ったのか?
・患者を退院させた後に転倒させないためにはどのようにしたら良いか知りたかったのでこの論文を読むに至った。
内 容
METHODS
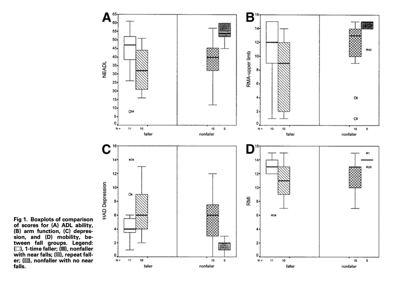
・脳卒中発症から3ヶ月以上経っており、在宅生活しており、移動能力があり、全般的な認知機能のスクリーニングを通過している者を対象とした。 ・認知機能評価はMEAMSで行った。 ・ Fall Events Questionnaireに基づき福祉用具・服薬状況・合併症、転倒や転倒寸前になった頻度や状況を質問した。 ・移動能力はRMIで、上肢機能はRMAで評価し、感情はHADを用いて評価した。
RESULTS
・ 21人(50%)が合計51回転倒し、転倒を繰り返しているものは10人だった。 ・32人(約80%)が転倒寸前を経験していた。 ・ 5人だけが転倒も転倒寸前も経験していなかった。 ・どの評価においても転倒経験者と転倒未経験者の間に有意な差は認められなかった。 ・転倒を繰り返している者は転倒寸前も経験していない者に比べ、上肢機能・ADLが有意に低かった。また、うつの点数は高かったが有意な差ではなかった。 ・転倒経験者と転倒未経験者の間に転倒に対する恐怖には有意な差がなかった。半分以上の転倒経験者と未転倒経験者は転倒に対する恐怖を訴えなかったが、未転倒経験者の35%が転ばないか心配だと言った。 ・脳卒中の発症からの期間は繰り返し転倒している者で平均22ヶ月、転倒していない者で平均65ヶ月であった。
・転倒の80%が自宅で起きていた。 ・20人が歩行中、8人が方向転換中、7人が立ち上がりや着座の際に転倒していた。 ・転倒して地面に衝突した身体の部位は麻痺側が16回で手もしくは膝が16回であった。 ・転倒寸前は49件発生しており、そのうち27回が歩行時であった。
私見・明日への臨床アイデア
●繰り返し転倒している患者で発症からの期間が22ヶ月と短いのは、転倒を繰り返す者は長い期間を地域で生活することが難しいからだと予想できる。このことからも転倒防止が再確認された。 ●これまで転倒予防というと下肢・体幹中心のアプローチに重きを置いてきた。しかし本論文を読んで、上肢や転倒の危険性の認識など包括的な関わりが必要であることが分かった。
職種 理学療法士

脳卒中の動作分析 一覧はこちら 論文サマリー 一覧はこちら 脳卒中自主トレ100本以上 一覧はこちら
塾講師陣が個別に合わせたリハビリでサポートします

1981 :長崎市生まれ 2003 :国家資格取得後(作業療法士)、高知県の近森リハビリテーション病院 入職 2005 :順天堂大学医学部附属順天堂医院 入職 2015 :約10年間勤務した順天堂医院を退職 2015 :都内文京区に自費リハビリ施設 ニューロリハビリ研究所「STROKE LAB」設立 脳卒中/脳梗塞、パーキンソン病などの神経疾患の方々のリハビリをサポート 2017: YouTube 「STROKE LAB公式チャンネル」「脳リハ.com」開設 2022~:株式会社STROKE LAB代表取締役に就任 【著書,翻訳書】 近代ボバース概念:ガイアブックス (2011) エビデンスに基づく脳卒中後の上肢と手のリハビリテーション:ガイアブックス (2014) エビデンスに基づく高齢者の作業療法:ガイアブックス (2014) 新 近代ボバース概念:ガイアブックス (2017) 脳卒中の動作分析:医学書院 (2018) 脳卒中の機能回復:医学書院 (2023) 脳の機能解剖とリハビリテーション:医学書院 (2024) パーキンソン病の機能促進:医学書院 (2025)

